真理2_1_36   次頁   前頁   索引   ホーム  

水耕栽培

<研究目的>
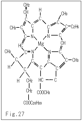
 植物の必須養素として現在知られているものには、大気に由来する(C、H、O、N)の4種と、土壌のもとである岩石に由来する(K、Ca、Mg、P、N、S、Fe、Cu、Mn、Zn、Mo、B、Cl)の13種がある。このうち岩石に由来するマグネシウム(Mg)はクロロフィル分子の重要な構成元素として、その分子の中央を占め、右図のように4個のピロール環と結びついている。マグネシウム(Mg)欠乏状態で育てた植物の葉には、クロロフィル欠損症状(クロローシス白化)があらわれるというが、実際にマグネシウム(Mg)を除いて植物を栽培した場合、この植物の光合成あるいは、吸光特性はどのように変化するであろうか。この実験を通して、生育過程の相違(マグネシウムの欠乏状態)における植物の吸光特性の変化を調べる。

<試料植物>
 マグネシウム(Mg)を除去して水耕栽培を行なう試料として比較的種子の小さいホウレンソウ・オタマナの種子を用いた。これはマメのように種子の大きなものでは、子葉自体に相当量の養分がふくまれ、その養分でしばらくの間は成長し続けるので、何代も水耕栽培を行なわなければ、その養分の必須性というものがわからないからである。また、ホウレンソウはクロロ

真理2_1_36  次頁  前頁  索引  ホーム